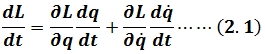
Physics derive: OB Tsai Write & Edit: BMC
The study of the motion is an ancient one, making Classical Mechanics one of the oldest and largest subjects in physics. It is also widely known as Newtonian Mechanics. The initial development of Classical Mechanics is often referred to as Newtonian Mechanics, with the mathematical methods invented by Isaac Newton. The most famous equation is known as Newton's Second Law of Motion.
【Isaac Newton(1643-1727)】
After Newton, more abstract and general methods were developed, leading to reformulations of Classical Mechanics known as Lagrangian Mechanics and Hamiltonian Mechanics. Joseph Lagrange and William Hamilton extend substantially beyond Newton's work, particularly through their use of analytical mechanics.
Using mathematical analysis and a function called the Lagrangian, choosing the generalized coordinates, with Principle of Least Action, Lagrangian Mechanics is a reformulation of Classical Mechanics. It is widely used to solve mechanical problems when Newton's formulation of Classical Mechanics is not convenient.
【Joseph Lagrange(1736-1813)】
Hamiltonian Mechanics is also a theory developed from Classical Mechanics. Based on Lagrangian Mechanics, Hamilton uses a different mathematical formalism, providing a more abstract understanding of the theory. It was an important reformulation of Classical Mechanics, which later contributed to the formulation of Statistical Mechanics and Quantum Mechanics.
【William Hamilton(1805-1865)】
Classical Mechanics and Quantum Mechanics are the two major sub-fields of mechanics. With Wave-particle Duality, Quantum Mechanics use a mathematical way, the wave function, to provide information about the probability amplitude of position, momentum, and other physical properties of a particle. Erwin Schrödinger developed the fundament of Quantum Mechanics and formulated his Schrödinger Equation that describes how the quantum state of a quantum system changes with time. In the Copenhagen Interpretation, the wave function is the most complete description that can be given of Quantum Mechanics' system. Solutions to Schrödinger's Equation describe not only molecular, atomic, and subatomic systems, but also macroscopic systems, possibly even the whole universe.
【Erwin Schrödinger(1887-1961)】
With Pierre de Fermat's principle of light, Leonhard Euler's mathematical method, Christiaan Huygens' theory of wave source, and Richard Feynman's guess, now we will try to show how finally Schrödinger Equation can be derived from Newtonian Mechanics, during Lagrangian and Hamiltonian, after Wave-particle Duality of Quantum Physics.
Chapter 1-Lagrangian Mechanics
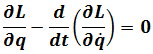
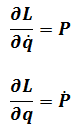
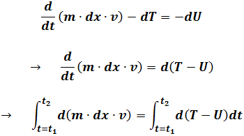
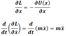
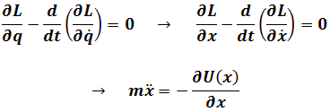
From Newton's Second Law of Motion
And Conservative Force is
Let(1.1)=(1.2)
LHS
RHS
LHS=RHS
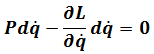
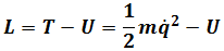
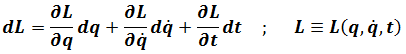
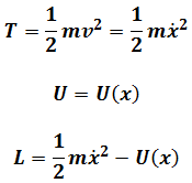
Define Lagrangian
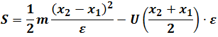
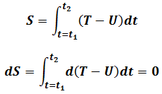
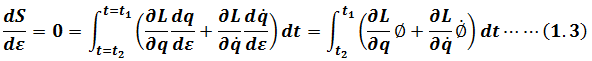
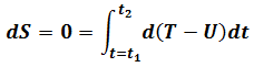
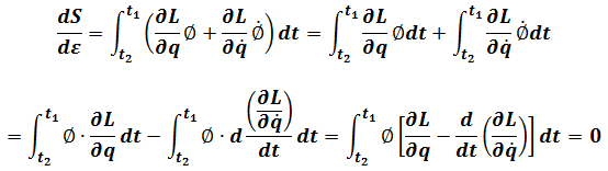
Action
Principle of Least Action
Also define
And
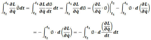
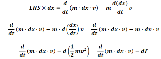
Here using integration by parts
So(1.3)becomes
We get Lagrange's Equations of the first kind
Chapter 2-Hamiltonian Mechanics
From Newtonian Mechanics
Partial differential of Lagrangian is
Where
With spatial translation invariance
And time translation invariance
Here
And
So(2.1)becomes
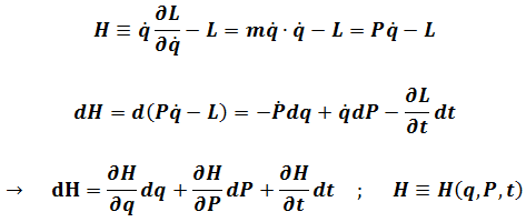
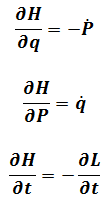
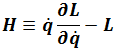
Now define Hamiltonian
Where
We get Hamiltonian Energy
Chapter 3-Partial Differential between Lagrangian and Hamiltonian
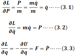
From Lagrangian
Here
With partial differential of Lagrangian
Taking(3.1)、(3.2)、(3.3)into following formula
Where
Minus(3.4)and plus
Come to Hamiltonian
Where
Then come back to
Where
Because of
And
Here
And
So
Chapter 4-Hamiltonian Energy with Action
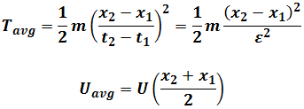
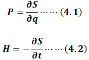
Considering about
Action
And
So
Hamiltonian Energy is
Taking into(4.1)、(4.2)we get
Chapter 5-Derivation of Time-independent Schrödinger Equation
For light wave function
Fermat Principle that the path taken between two points by a ray of light is the path that can be traversed in the least time. The shortest path can be corresponded to the shortest path of phase .
【Pierre de Fermat(1601-1665)】
Principle of Least Action of Newtonian Mechanics is
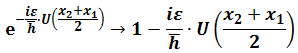
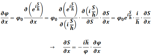
For light wave of shortest path of phase, we can guess
Where is Planck Constant over 2π. Because is non-dimensional, we divide S by for dimensionless.
So light wave function can become
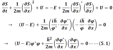
For 1-dimension space, returning to
With
For Hamiltonian Energy
So
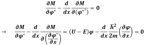
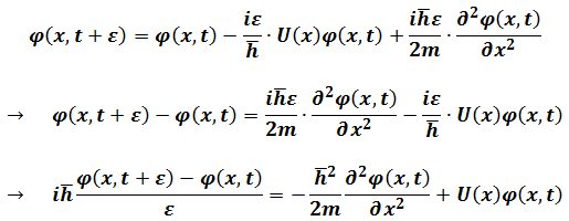
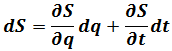
To find the solutions of(5.1)which are the functions for which a given functional is stationary, let
Taking into Euler-Lagrange Equation
【Leonhard Euler(1707-1783)】
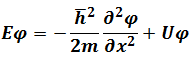
Here we get
This is Time-independent Schrödinger Equation.
Chapter 6-Derivation of Time-dependent Schrödinger Equation
Huygens Principle proposed that every point which a light wave disturbance reaches becomes a source of a spherical wave. The sum of these secondary waves determines the form of the wave at any subsequent time.
【Christiaan Huygens(1629-1695)】
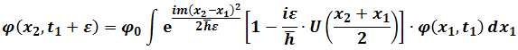
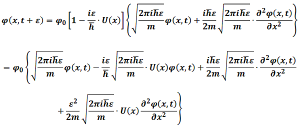
For 1-dimension space, Feynman guesses
【Richard Feynman(1918-1988)】
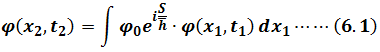
Using integral by summation
If
Where
We get
So
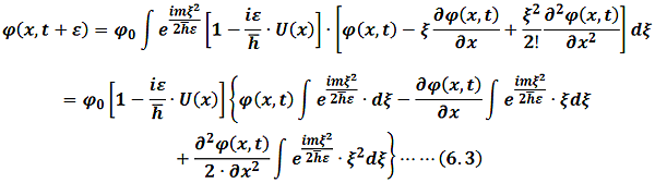
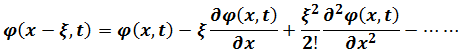
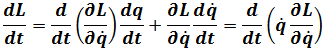
Taking into power series about
Because is very small and
(6.1)becomes
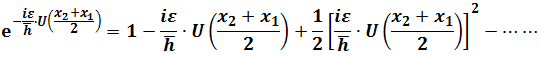
Let , then and
Here using Taylor expansion
is very small, so(6.2)becomes
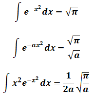
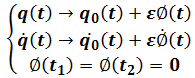
According to Gaussian integral formula
With
(6.3)goes to
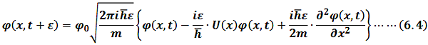
Taking into power series and for
So
And
For normalization constant, we can choose
So(6.4)becomes
Here we get
This is Time-dependent Schrödinger Equation.
